适用于苛刻环境湿度测量应用的高精度OEM温、湿度测量变送器
产品特点
具有卓越准确度和稳定性的第4代 维萨拉HUMICAP® 传感器
0 … 100%RH全量程测量,温度测 量范围最高可达+180°C (+356°F)(量程与型号有关)
体积小,易于集成
耐受灰尘和大多数化学物质
具有两个模拟信号和RS-232 ASCII 输出
可承压高达100bar的压力
HMT310可靠的维萨拉HUMICAP®技术
HMT310采用最新一代维萨拉HUMICAP®传感器 。这款电容式薄膜聚合传感器测量精度高,并具有卓越的长期稳定性和几乎可忽略不计的迟滞性。其还具有抗粉尘 、颗粒污垢和大多数化学品杂质的优点。
一个连接器集成多个输出
HMT310供电电压为10...35VDC。其具有两个模拟输出和一个RS232串口输出。与设备连接的电缆仅有一根,信号输出和供电均经由同一电缆实现。
化学清除洗功能
化学清除功能有助于确保两次校准之间的测量精度 。该功能利用加热传感器的方法清除有害化学物质 。化学清除功能可手动启动,也可通过编程方式在设定的间隔时间启动。
选配功能
选配功能如下:适用于多种应用的各类探头、计算湿度参数、多种安装套件、防雨罩、传感器防护选配件和探头电缆长度、用于高湿度条件的加热探头和传感器加热功能(HMT317),以及在测量环境可能存在化学品干扰情况下适用的化学清除功能。
HMT310系列包括六个型号:
• HMT311适用于墙面式安装应用
• HMT313适用于管路和狭窄空间
• HMT314适用于高压和真空应用
• HMT315适用于高温应用
• HMT317适用于高湿应用
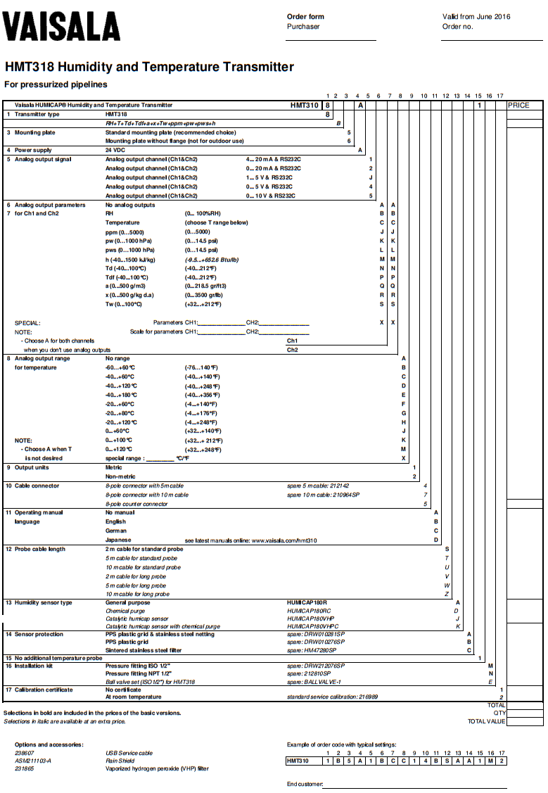
• HMT318适用于压力管线


敬请点击网站顶部的“新用户申请”按钮或联系我们获取您感兴趣的产品资料
敬请点击网站顶部的“新用户申请”按钮或联系我们获取您感兴趣的产品资料
about us
关于我们 公司简介 发展历程 隐私政策 使用条款 网站地图contact us
联系我们Product
产品 温、湿度测量 过氧化氢、温、湿测量 露点温度测量 二氧化碳浓度测量 压力测量 微差压测量 风管风速测量 油中水分含量测量 油中氢含量测量 液体浓度测量 空气品质测量 温、湿、压一体测量 气象参数测量 烟气参数测量 EMS系统及数据记录仪 显示及控制仪表 颗粒计数 校准设备Industry Solutions
行业解决方案 受控环境关键参数监测系统 分布 验证 大气环境监测 行业应用案例Technical support and service
技术支持与服务 校准服务 维保服务 技术支持 培训服务 应用视频